An Algebraic Statement of the Shoven Model

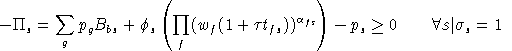
Zero Net Profit
The unit cost of production in sector As is given by a nested Leontief-CES function defined over the cost of intermediate inputs and primary factors with ad-valorem taxes on factor demands. Unlike the Harberger models, tax rates in this model are determined endogenously. In equilibrium, the unit cost must be no less than the market price of output:
eq001

and
eq002
Income Balance for Government
Government tax income (PT) is determined by the value of tax revenue, calculated using activity levels, compensated demands, market prices and ad-valorem tax rates:
eq003

Equal Yield
In equilibrium, tax rates are multiplicatively adjusted to achieve a target level of government revenue:
eq004

Income Balance for Households
Household income is determined by the net of tax return to primary factors plus the household share of government revenue:

eq005
Market Clearance for Goods
Producer output is equal to the sum of intermediate plus final demand:
eq006
where eq007 is the household budget share devoted to the consumption of goods, and eh is the "unit expenditure function" which may be written:
eq008
Market Clearance for Factors
The aggregate supply of factors equals the sum of producer and consumer demand. Producers pay taxes on factor inputs, consumers do not because we consider these demands to be "leisure" or "household production". Consumer demands for factors are specified as Cobb-Douglas (constant budget shares):

eq009